|
<< Click to Display Table of Contents >> Create a Geotechnical Tests Table |
![]() ![]()
|
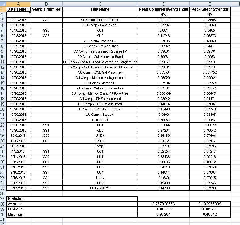
Geotechnical test tables can be used to list test results for selected samples and tests as shown in the spreadsheet below. To create a new geotechnical test table for a project select File > Export > Excel Tables > Geotechnical Tests. The Export Geotechnical Test Table form will be displayed.
At the top of the form there are buttons for opening and saving scripts. Scripts are used to save the settings in a form and can be used to generate tables and crosstabs. Crosstabs are used to generate Excel spreadsheets that contain more then one table using previously stored scripts.
Tables can be either dynamic or non-dynamic. Dynamic tables are created with the latest data every time they are opened. Non-dynamic tables are static and stored in the Datastore, these tables will show the data at the time they were created.

If the Crosstabs is not checked, this form has five tabs for Data, Filter, Options, Format, and Page Layout. The editing of these tabs is described in the sections below. If the crosstabs is checked this form will have one tab for Crosstabs described below.
After the information on the tabs has been entered, the Export button at the bottom of the form will export the data to an Excel spreadsheet. When the spreadsheet has been generated it will be opened in Excel.
